tree_mod <- decision_tree(engine = "rpart") |>
  set_mode("classification")
tree_wf <- workflow() |>
  add_formula(children ~ .) |>
  add_model(tree_mod)AE 16: Tune better models to predict children in hotel bookings
Suggested answers
Your Turn 1
Fill in the blanks to return the accuracy and ROC AUC for this model using 10-fold cross-validation.
Fill in the blanks to return the accuracy and ROC AUC for this model using 10-fold cross-validation.
set.seed(100)
______ |>
  ______(resamples = hotels_folds) |>
  ______Answer:
set.seed(100)
tree_wf |>
  fit_resamples(resamples = hotels_folds) |>
  collect_metrics()# A tibble: 3 × 6
  .metric     .estimator  mean     n std_err .config        
  <chr>       <chr>      <dbl> <int>   <dbl> <chr>          
1 accuracy    binary     0.773    10 0.00567 pre0_mod0_post0
2 brier_class binary     0.158    10 0.00322 pre0_mod0_post0
3 roc_auc     binary     0.832    10 0.00672 pre0_mod0_post0Your Turn 2
Create a new parsnip model called rf_mod, which will learn an ensemble of classification trees from our training data using the ranger package. Update your tree_wf with this new model.
Fit your workflow with 10-fold cross-validation and compare the ROC AUC of the random forest to your single decision tree model — which predicts the test set better?
Hint: you’ll need https://www.tidymodels.org/find/parsnip/
# model
rf_mod <- _____ |>
  _____("ranger") |>
  _____("classification")
# workflow
rf_wf <- tree_wf |>
  update_model(_____)
# fit with cross-validation
set.seed(100)
_____ |>
  fit_resamples(resamples = hotels_folds) |>
  collect_metrics()Answer:
# model
rf_mod <- rand_forest(engine = "ranger") |>
  set_mode("classification")
# workflow
rf_wf <- tree_wf |>
  update_model(rf_mod)
# fit with cross-validation
set.seed(100)
rf_wf |>
  fit_resamples(resamples = hotels_folds) |>
  collect_metrics()# A tibble: 3 × 6
  .metric     .estimator  mean     n std_err .config        
  <chr>       <chr>      <dbl> <int>   <dbl> <chr>          
1 accuracy    binary     0.829    10 0.00382 pre0_mod0_post0
2 brier_class binary     0.123    10 0.00176 pre0_mod0_post0
3 roc_auc     binary     0.912    10 0.00319 pre0_mod0_post0Your Turn 3
Edit the random forest model to tune the mtry and min_n hyper-parameters; call the new model spec rf_tuner.
Update your workflow to use the tuned model.
Then use tune_grid() to find the best combination of hyper-parameters to maximize roc_auc; let tune set up the grid for you.
How does it compare to the average ROC AUC across folds from fit_resamples()?
rf_mod <- rand_forest(engine = "ranger") |>
  set_mode("classification")
rf_wf <- workflow() |>
  add_formula(children ~ .) |>
  add_model(rf_mod)
set.seed(100) # Important!
rf_results <- rf_wf |>
  fit_resamples(
    resamples = hotels_folds,
    metrics = metric_set(roc_auc),
    # change me to control_grid() with tune_grid
    control = control_resamples(save_workflow = TRUE)
  )
rf_results |>
  collect_metrics()# A tibble: 1 × 6
  .metric .estimator  mean     n std_err .config        
  <chr>   <chr>      <dbl> <int>   <dbl> <chr>          
1 roc_auc binary     0.912    10 0.00319 pre0_mod0_post0Answer:
rf_tuner <- rand_forest(
  engine = "ranger",
  mtry = tune(),
  min_n = tune()
) |>
  set_mode("classification")
rf_wf <- rf_wf |>
  update_model(rf_tuner)
set.seed(100) # Important!
rf_results <- rf_wf |>
  tune_grid(
    resamples = hotels_folds,
    control = control_grid(save_workflow = TRUE)
  )i Creating pre-processing data to finalize 1 unknown parameter: "mtry"Your Turn 4
Use fit_best() to take the best combination of hyper-parameters from rf_results and use them to predict the test set.
How does our actual test ROC AUC compare to our cross-validated estimate?
hotels_best <- fit_best(rf_results)
# cross validated ROC AUC
rf_results |>
  show_best(metric = "roc_auc", n = 5)# A tibble: 5 × 8
   mtry min_n .metric .estimator  mean     n std_err .config         
  <int> <int> <chr>   <chr>      <dbl> <int>   <dbl> <chr>           
1     5     2 roc_auc binary     0.912    10 0.00331 pre0_mod03_post0
2     7    18 roc_auc binary     0.911    10 0.00358 pre0_mod04_post0
3     3    31 roc_auc binary     0.908    10 0.00304 pre0_mod02_post0
4    12     6 roc_auc binary     0.908    10 0.00425 pre0_mod06_post0
5     9    35 roc_auc binary     0.907    10 0.00386 pre0_mod05_post0# test set ROC AUC
augment(hotels_best, new_data = hotels_test) |>
  roc_auc(truth = children, .pred_children)# A tibble: 1 × 3
  .metric .estimator .estimate
  <chr>   <chr>          <dbl>
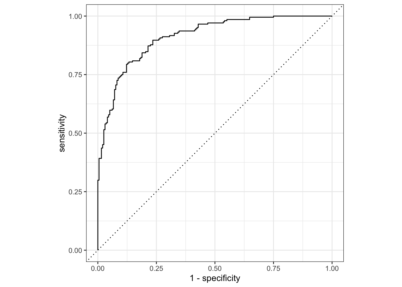
1 roc_auc binary         0.912# test set ROC curve
augment(hotels_best, new_data = hotels_test) |>
  roc_curve(truth = children, .pred_children) |>
  autoplot()Acknowledgments
- Materials derived from Tidymodels, Virtually: An Introduction to Machine Learning with Tidymodels by Allison Hill.
- Dataset and some modeling steps derived from A predictive modeling case study and licensed under a Creative Commons Attribution-ShareAlike 4.0 International (CC BY-SA) License.
sessioninfo::session_info()─ Session info ───────────────────────────────────────────────────────────────
 setting  value
 version  R version 4.5.1 (2025-06-13)
 os       macOS Tahoe 26.0.1
 system   aarch64, darwin20
 ui       X11
 language (EN)
 collate  C.UTF-8
 ctype    C.UTF-8
 tz       America/New_York
 date     2025-10-31
 pandoc   3.6.3 @ /Applications/Positron.app/Contents/Resources/app/quarto/bin/tools/aarch64/ (via rmarkdown)
 quarto   1.8.24 @ /Applications/quarto/bin/quarto
─ Packages ───────────────────────────────────────────────────────────────────
 ! package      * version    date (UTC) lib source
 P backports      1.5.0      2024-05-23 [?] RSPM (R 4.5.0)
 P bit            4.6.0      2025-03-06 [?] RSPM (R 4.5.0)
 P bit64          4.6.0-1    2025-01-16 [?] RSPM (R 4.5.0)
 P broom        * 1.0.9      2025-07-28 [?] RSPM (R 4.5.0)
 P class          7.3-23     2025-01-01 [?] RSPM (R 4.5.0)
 P cli            3.6.5      2025-04-23 [?] RSPM (R 4.5.0)
 P codetools      0.2-20     2024-03-31 [?] RSPM (R 4.5.0)
 P crayon         1.5.3      2024-06-20 [?] RSPM (R 4.5.0)
 P data.table     1.17.8     2025-07-10 [?] RSPM (R 4.5.0)
 P dials        * 1.4.2      2025-09-04 [?] RSPM
 P DiceDesign     1.10       2023-12-07 [?] RSPM (R 4.5.0)
 P digest         0.6.37     2024-08-19 [?] RSPM (R 4.5.0)
 P dplyr        * 1.1.4      2023-11-17 [?] RSPM (R 4.5.0)
 P evaluate       1.0.4      2025-06-18 [?] RSPM (R 4.5.1)
 P farver         2.1.2      2024-05-13 [?] RSPM (R 4.5.0)
 P fastmap        1.2.0      2024-05-15 [?] RSPM (R 4.5.0)
 P forcats      * 1.0.0      2023-01-29 [?] RSPM (R 4.5.0)
 P furrr          0.3.1      2022-08-15 [?] RSPM
 P future         1.67.0     2025-07-29 [?] RSPM
 P future.apply   1.20.0     2025-06-06 [?] RSPM
 P generics       0.1.4      2025-05-09 [?] RSPM (R 4.5.0)
 P ggplot2      * 3.5.2      2025-04-09 [?] RSPM (R 4.5.0)
 P globals        0.18.0     2025-05-08 [?] RSPM
 P glue           1.8.0      2024-09-30 [?] RSPM (R 4.5.0)
 P gower          1.0.2      2024-12-17 [?] RSPM
 P GPfit          1.0-9      2025-04-12 [?] RSPM (R 4.5.0)
 P gtable         0.3.6      2024-10-25 [?] RSPM (R 4.5.0)
 P hardhat        1.4.2      2025-08-20 [?] RSPM
 P here           1.0.1      2020-12-13 [?] RSPM (R 4.5.0)
 P hms            1.1.3      2023-03-21 [?] RSPM (R 4.5.0)
 P htmltools      0.5.8.1    2024-04-04 [?] RSPM (R 4.5.0)
 P htmlwidgets    1.6.4      2023-12-06 [?] RSPM (R 4.5.0)
 P infer        * 1.0.9      2025-06-26 [?] RSPM
 P ipred          0.9-15     2024-07-18 [?] RSPM
 P jsonlite       2.0.0      2025-03-27 [?] RSPM (R 4.5.0)
 P knitr          1.50       2025-03-16 [?] RSPM (R 4.5.0)
 P labeling       0.4.3      2023-08-29 [?] RSPM (R 4.5.0)
 P lattice        0.22-7     2025-04-02 [?] RSPM (R 4.5.0)
 P lava           1.8.1      2025-01-12 [?] RSPM
 P lhs            1.2.0      2024-06-30 [?] RSPM (R 4.5.0)
 P lifecycle      1.0.4      2023-11-07 [?] RSPM (R 4.5.0)
 P listenv        0.9.1      2024-01-29 [?] RSPM
 P lubridate    * 1.9.4      2024-12-08 [?] RSPM (R 4.5.0)
 P magrittr       2.0.3      2022-03-30 [?] RSPM (R 4.5.1)
 P MASS           7.3-65     2025-02-28 [?] RSPM (R 4.5.0)
 P Matrix         1.7-3      2025-03-11 [?] RSPM (R 4.5.0)
 P modeldata    * 1.5.1      2025-08-22 [?] RSPM
 P modelenv       0.2.0      2024-10-14 [?] RSPM
 P nnet           7.3-20     2025-01-01 [?] RSPM (R 4.5.0)
 P parallelly     1.45.1     2025-07-24 [?] RSPM
 P parsnip      * 1.3.3      2025-08-31 [?] RSPM
 P pillar         1.11.0     2025-07-04 [?] RSPM (R 4.5.1)
 P pkgconfig      2.0.3      2019-09-22 [?] RSPM (R 4.5.0)
 P prodlim        2025.04.28 2025-04-28 [?] RSPM
 P purrr        * 1.1.0      2025-07-10 [?] RSPM (R 4.5.0)
 P R6             2.6.1      2025-02-15 [?] RSPM (R 4.5.0)
 P ranger         0.17.0     2024-11-08 [?] RSPM
 P RColorBrewer   1.1-3      2022-04-03 [?] RSPM (R 4.5.0)
 P Rcpp           1.1.0      2025-07-02 [?] RSPM (R 4.5.0)
 P readr        * 2.1.5      2024-01-10 [?] RSPM (R 4.5.0)
 P recipes      * 1.3.1      2025-05-21 [?] RSPM
 P renv           1.1.5      2025-07-24 [?] RSPM
 P rlang          1.1.6      2025-04-11 [?] RSPM (R 4.5.0)
 P rmarkdown      2.29       2024-11-04 [?] RSPM
 P rpart          4.1.24     2025-01-07 [?] RSPM (R 4.5.0)
 P rprojroot      2.1.0      2025-07-12 [?] RSPM (R 4.5.0)
 P rsample      * 1.3.1      2025-07-29 [?] RSPM
 P rstudioapi     0.17.1     2024-10-22 [?] RSPM (R 4.5.0)
 P scales       * 1.4.0      2025-04-24 [?] RSPM (R 4.5.0)
 P sessioninfo    1.2.3      2025-02-05 [?] RSPM (R 4.5.0)
 P sfd            0.1.0      2024-01-08 [?] RSPM
 P sparsevctrs    0.3.4      2025-05-25 [?] RSPM
 P stringi        1.8.7      2025-03-27 [?] RSPM (R 4.5.0)
 P stringr      * 1.5.1      2023-11-14 [?] RSPM (R 4.5.1)
 P survival       3.8-3      2024-12-17 [?] RSPM (R 4.5.0)
 P tailor       * 0.1.0      2025-08-25 [?] RSPM
 P tibble       * 3.3.0      2025-06-08 [?] RSPM (R 4.5.0)
 P tidymodels   * 1.4.1      2025-09-08 [?] RSPM
 P tidyr        * 1.3.1      2024-01-24 [?] RSPM (R 4.5.0)
 P tidyselect     1.2.1      2024-03-11 [?] RSPM (R 4.5.0)
 P tidyverse    * 2.0.0      2023-02-22 [?] RSPM (R 4.5.0)
 P timechange     0.3.0      2024-01-18 [?] RSPM (R 4.5.0)
 P timeDate       4041.110   2024-09-22 [?] RSPM
 P tune         * 2.0.0      2025-09-01 [?] RSPM
 P tzdb           0.5.0      2025-03-15 [?] RSPM (R 4.5.0)
 P utf8           1.2.6      2025-06-08 [?] RSPM (R 4.5.0)
 P vctrs          0.6.5      2023-12-01 [?] RSPM (R 4.5.0)
 P vroom          1.6.5      2023-12-05 [?] RSPM (R 4.5.1)
 P withr          3.0.2      2024-10-28 [?] RSPM (R 4.5.0)
 P workflows    * 1.3.0      2025-08-27 [?] RSPM
 P workflowsets * 1.1.1      2025-05-27 [?] RSPM
 P xfun           0.52       2025-04-02 [?] RSPM (R 4.5.1)
 P yaml           2.3.10     2024-07-26 [?] RSPM (R 4.5.0)
 P yardstick    * 1.3.2      2025-01-22 [?] RSPM
 [1] /Users/bcs88/Projects/info-5001/course-site/renv/library/macos/R-4.5/aarch64-apple-darwin20
 [2] /Users/bcs88/Library/Caches/org.R-project.R/R/renv/sandbox/macos/R-4.5/aarch64-apple-darwin20/4cd76b74
 * ── Packages attached to the search path.
 P ── Loaded and on-disk path mismatch.
──────────────────────────────────────────────────────────────────────────────